Reluctance torque or alignment torque is experienced by a ferromagnetic object placed in an external magnetic field, which causes the object to line up with the external magnetic field. An external magnetic field induces an internal magnetic field in the object and because of this torque is produced.
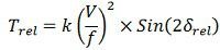
The torque is generated between the two fields twisting the object around the line with the magnetic field. Thus, torque is exerted on the object so that it tries to position itself to give minimum reluctance for the magnetic flux. It is also known as Saliency torque because it causes due to the saliency of the machine. Reluctance Motor depends on the reluctance torque for its operation. it is calculated by the formula
Where, Trel – average value of reluctant torque.
V – applied voltage
f – line frequency
δrel – torque angle (electrical degree)
K – motor constant
Reluctance torque is mainly developed in the reluctance motor. It is produced in the motor due to the varying reluctance. Their stability limit can occur between +δ/4 to -δ/4. The stator of the reluctance motor is similar to single phase induction motor and their rotor is generally a squirrel cage.
